早报
必读
名家
学堂
您的位置: 零点财经>股票知识>定量投资>
因为报价年利率并不直接给出将来值,所以我们需要一个反映其有效年利率(EAR)的公式。对于按半年度复利计息的8%的年利率,我们将在计息期间(每半年)中以4%的利率
财务经理经常想用一个单一的数值指标来表示由投资项目所产生的收益率。在投资应用中(包括资本预算中),一个最常使用的收益率的计算量为内部收益率。内部收益率准则是用来
“定性分析”与“定量分析”原为分析化学的专业名词,简略地说,“定性分析化学”是对样品中存在的化学元素或原子团进行鉴定的化学分支;而“定量分析化学”是对样品中的一
投资组合收益的度量假设你是一个投资者,并且你想要评估你投资的成果。那么,你将面临两个相关但又不同的工作。第一个是业绩度量(performance measure
货币加权收益率第一个我们要讨论的业绩度量的概念是内部收益率的计算。在投资管理的应用中,内部收益率常被称为货币加权收益率,因为它解释了投资组合中所有美元现金流流入
当项目间相互独立时(即投资于某一个项目的决策不影响是否投资于另一个项目的决策时),内部收益率准则和净现值准则给出了相同的(接受或拒绝的)决策
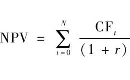
净现值给出了一种评估某项投资的价值的方式,而净现值准则是用来在不同投资项目中进行选择的一种方法。一项投资的净现值(net present value)等于其所有
定量投资分析:复利的频数在本节中,我们考察在1年中不只付息一次的投资问题。例如,许多银行提供在1年中复利12次的月度利率。在这样的安排下,银行每个月会支付利息的
在本文中,我们将频繁地提到利率。在一些例子中,我们会假定利率是一个特定的数值:而在另一些例子中,利率将会是我们需要去求解的未知变量。在讨论货币时间价值问题的原理
系统通常是庞大而复杂的。为进行有效的研究,得到有说服力的结论,就需要建立系统模型(model of system)。系统模型是对系统的描述、模仿,在对系统抽象和
copyright 2016-2026 零点财经保留所有权 免责声明:网站部分内容转载至网络,如有侵权请告知删除 友链,商务链接,投稿,广告请联系qq:253161086
零点财经保留所有权
免责声明:网站部分内容转载至网络,如有侵权请告知删除